cíle učení
- Identifikujte rozlišovací vlastnosti membránových lipidů.
- popište membránové komponenty a jejich uspořádání.
všechny živé buňky jsou obklopeny buněčnou membránou. Rostlinné buňky (obrázek \(\PageIndex{1A}\)) a živočišné buňky (obrázek \(\PageIndex{1B}\)) obsahují buněčné jádro, které je také obklopeno membránou a drží genetickou informaci pro buňku. Všechno mezi buněčnou membránou a jadernou membránou-včetně intracelulárních tekutin a různých subcelulárních složek, jako jsou mitochondrie a ribozomy-se nazývá cytoplazma. Membrány všech buněk mají zásadně podobnou strukturu, ale membránová funkce se ohromně liší od jednoho organismu k druhému a dokonce i od jedné buňky k druhé v rámci jednoho organismu. Tato rozmanitost vyplývá hlavně z přítomnosti různých proteinů a lipidů v membráně.


Obrázek \(\PageIndex{1}\): (A) Idealizovaná Rostlinná Buňka. Ne všechny zde zobrazené struktury se vyskytují v každém typu rostlinné buňky. B) Idealizovaná Zvířecí Buňka. Zde zobrazené struktury se zřídkakdy nacházejí v jedné zvířecí buňce.
lipidy v buněčných membránách jsou vysoce polární, ale mají dvojí vlastnosti: část lipidu je iontová, a proto se rozpouští ve vodě, zatímco zbytek má uhlovodíkovou strukturu,a proto se rozpouští v nepolárních látkách. Iontová část je často označována jako hydrofilní, což znamená „milující vodu“ a nepolární část jako hydrofobní, což znamená “ strach z vody „(odpuzovaný vodou). Když se polární lipidy mohou volně vznášet ve vodě, spontánně se shlukují v jednom ze tří uspořádání: micely, monovrstvy a dvojvrstvy (obrázek \(\PageIndex{2}\)).

obrázek \(\PageIndex{2}\): spontánně vytvořené polární lipidové struktury ve vodě: jednovrstvá, Micela a dvojvrstvá
micely jsou agregace, ve kterých jsou uhlovodíkové ocasy lipidů-jsou hydrofobní-směrovány směrem ke středu sestavy a od okolní vody, zatímco hydrofilní hlavy směřují ven, ve styku s vodou. Každá micela může obsahovat tisíce lipidových molekul. Polární lipidy mohou také tvořit monovrstvu, vrstvu o tloušťce jedné molekuly na povrchu vody. Polární hlavy směřují do vody a nepolární ocasy se drží ve vzduchu. Dvojvrstvy jsou dvojité vrstvy lipidů uspořádané tak, že hydrofobní ocasy jsou vloženy mezi vnitřní povrch a vnější povrch sestávající z hydrofilních hlav. Hydrofilní hlavy jsou v kontaktu s vodou na obou stranách dvojvrstvy, zatímco ocasy, oddělené uvnitř dvojvrstvy, je zabráněno kontaktu s vodou. Dvojvrstvy, jako je tato, tvoří každou buněčnou membránu (obrázek \(\PageIndex{3}\)).

obrázek \(\PageIndex{3}\): Schéma buněčné membrány. Membrána obklopující typickou živočišnou buňku je fosfolipidová dvojvrstva s vloženými molekulami cholesterolu a bílkovin. Krátké oligosacharidové řetězce jsou připojeny k vnějšímu povrchu.
v dvojvrstvém vnitřku hydrofobní ocasy (tj. části lipidových molekul mastných kyselin) interagují pomocí disperzních sil. Interakce jsou oslabeny přítomností nenasycených mastných kyselin. V důsledku toho se membránové složky mohou do určité míry volně mlet a membrána je popsána jako tekutina.
lipidy nalezené v buněčných membránách lze kategorizovat různými způsoby. Fosfolipidy jsou lipidy obsahující fosfor. Glykolipidy jsou lipidy obsahující cukr. Ty se nacházejí výhradně na vnějším povrchu buněčné membrány, působí jako rozlišovací povrchové markery pro buňku a slouží tak při rozpoznávání buněk a komunikaci mezi buňkami. Sfingolipidy jsou fosfolipidy nebo glykolipidy, které obsahují nenasycený aminoalkohol sfingosin spíše než glycerol. Schematické struktury reprezentativních membránových lipidů jsou uvedeny na obrázku \(\PageIndex{4}\).

obrázek \(\PageIndex{4}\): strukturní složky některých důležitých membránových lipidů
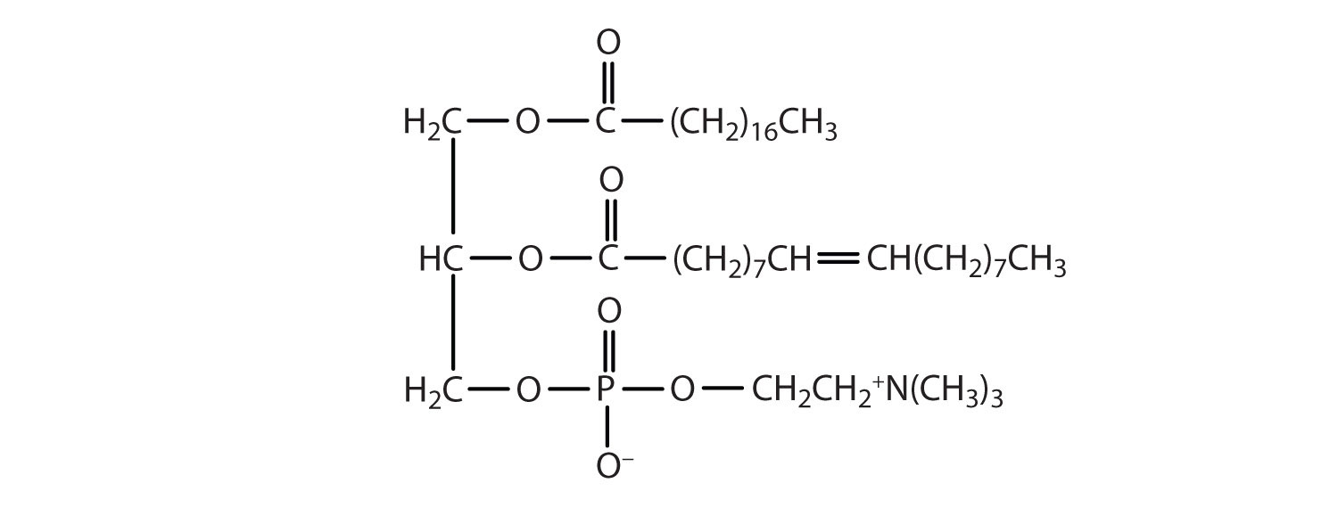
Fosfoglyceridy (také známé jako glycerofosfolipidy) jsou nejhojnějšími fosfolipidy v buněčných membránách. Skládají se z glycerolové jednotky s mastnými kyselinami připojenými k prvním dvěma atomům uhlíku, zatímco jednotka kyseliny fosforečné, esterifikovaná molekulou alkoholu (obvykle aminoalkohol, jako v části A) obrázku \(\PageIndex{5}\)), je připojena ke třetímu atomu uhlíku glycerolu (část B) obrázku \(\PageIndex{5}\)). Všimněte si, že molekula fosfoglyceridů je identická s triglyceridem až do jednotky kyseliny fosforečné (část B) obrázku \(\PageIndex{5}\)).

existují dva běžné typy fosfoglyceridů. Fosfoglyceridy obsahující ethanolamin jako aminoalkohol se nazývají fosfatidylethanolaminy nebo cefaliny. Cefaliny se nacházejí v mozkové tkáni a nervech a také hrají roli při srážení krve. Fosfoglyceridy obsahující cholin jako aminoalkoholovou jednotku se nazývají fosfatidylcholiny nebo lecitiny. Lecitiny se vyskytují ve všech živých organismech. Stejně jako cefaliny jsou důležitými složkami nervové a mozkové tkáně. Vaječné žloutky jsou obzvláště bohaté na lecitiny. Komerční lecitiny izolované ze sójových bobů jsou široce používány v potravinách jako emulgační činidla. Emulgační činidlo se používá ke stabilizaci emulze-disperze dvou kapalin, které se normálně nemíchají, jako je olej a voda. Mnoho potravin jsou emulze. Mléko je emulze máslového tuku ve vodě. Emulgační činidlo v mléce je protein nazývaný kasein. Majonéza je emulze salátového oleje ve vodě, stabilizovaná lecitiny přítomnými ve žloutku.

Sfingomyeliny, nejjednodušší sfingolipidy, obsahují mastnou kyselinu, kyselinu fosforečnou, sfingosin a cholin (obrázek \(\PageIndex{6}\)). Protože obsahují kyselinu fosforečnou, jsou také klasifikovány jako fosfolipidy. Sfingomyeliny jsou důležitými složkami myelinového pláště obklopujícího axon nervové buňky. Roztroušená skleróza je jednou z několika onemocnění způsobených poškozením myelinového pláště.

většina živočišných buněk obsahuje sfingolipidy zvané cerebrosidy (obrázek \(\PageIndex{7}\)). Cerebrosidy se skládají ze sfingosinu, mastné kyseliny a galaktózy nebo glukózy. Proto se podobají sfingomyelinům, ale místo cholinové fosfátové skupiny mají cukrovou jednotku. Cerebrosidy jsou důležitými složkami membrán nervových a mozkových buněk.

Obrázek \(\PageIndex{7}\): Cerebrosidy. Cerebrosidy jsou sfingolipidy, které obsahují cukrovou jednotku.
sfingolipidy nazývané gangliosidy jsou složitější, obvykle obsahují rozvětvený řetězec tří až osmi monosacharidů a / nebo substituovaných cukrů. Kvůli značným rozdílům v jejich cukerných složkách bylo identifikováno asi 130 druhů gangliosidů. Většina procesů rozpoznávání a komunikace mezi buňkami (např., antigeny krevních skupin) závisí na rozdílech v sekvencích cukrů v těchto sloučeninách. Gangliosidy jsou nejčastější ve vnějších membránách nervových buněk, i když se také vyskytují v menších množstvích ve vnějších membránách většiny ostatních buněk. Protože cerebrosidy a gangliosidy obsahují cukrové skupiny, jsou také klasifikovány jako glykolipidy.
membránové proteiny
pokud byly membrány složeny pouze z lipidů, velmi málo iontů nebo polárních molekul mohlo projít jejich hydrofobní „sendvičovou náplní“, aby vstoupilo nebo opustilo jakoukoli buňku. Některé nabité a polární druhy však procházejí membránou, za pomoci proteinů, které se pohybují v lipidové dvojvrstvě. Dvě hlavní třídy proteinů v buněčné membráně jsou integrální proteiny, které pokrývají hydrofobní vnitřek dvojvrstvy, a periferní proteiny, které jsou volněji spojeny s povrchem lipidové dvojvrstvy (obrázek \(\PageIndex{3}\)). Periferní proteiny mohou být připojeny k integrálním proteinům, k polárním hlavovým skupinám fosfolipidů nebo k oběma vodíkovým vazbám a elektrostatickým silám.
malé ionty a molekuly rozpustné ve vodě vstupují a opouštějí buňku prostřednictvím kanálů přes integrální proteiny. Některé proteiny, nazývané nosné proteiny, usnadňují průchod určitých molekul, jako jsou hormony a neurotransmitery, specifickými interakcemi mezi proteinem a transportovanou molekulou.
shrnutí
lipidy jsou důležitými složkami biologických membrán. Tyto lipidy mají dvojí vlastnosti: část molekuly je hydrofilní a část molekuly je hydrofobní. Membránové lipidy mohou být klasifikovány jako fosfolipidy, glykolipidy a / nebo sfingolipidy. Proteiny jsou další důležitou složkou biologických membrán. Integrální proteiny pokrývají lipidovou dvojvrstvu, zatímco periferní proteiny jsou volněji spojeny s povrchem membrány.
cvičení pro kontrolu konceptu
-
pojmenujte strukturní jednotku, která musí být přítomna, aby molekula mohla být klasifikována jako fosfolipid
- .
- glykolipid.
- sfingolipid.
-
proč je důležité, aby membránové lipidy měly dvojí charakter-část molekuly je hydrofilní a část molekuly je hydrofobní?
-
proč si myslíte, že lecitiny (fosfatidylcholiny) se často přidávají do zpracovaných potravin, jako je horká kakaová směs?
odpovědi
-
- fosfátová skupina
- sacharidová jednotka (monosacharid nebo komplexnější)
- sfingosin
-
duální charakter je rozhodující pro tvorbu lipidové dvojvrstvy. Hydrofilní části molekuly jsou v kontaktu s vodným prostředím buňky, zatímco hydrofobní část lipidů je ve vnitřku dvojvrstvy a poskytuje bariéru pro pasivní difúzi většiny molekul.
-
lecitin působí jako emulgační činidlo, které pomáhá při míchání horké kakaové směsi s vodou a udržuje kakaovou směs rovnoměrně rozloženou po míchání.
cvičení
-
klasifikujte je jako fosfolipid, glykolipid a / nebo sfingolipid. (Některé lipidy mohou mít více než jednu klasifikaci.)
-
-
klasifikujte je jako fosfolipid, glykolipid a / nebo sfingolipid. (Některé lipidy mohou mít více než jednu klasifikaci.)
-
-
nakreslete strukturu sfingomyelinu, který má kyselinu laurovou jako mastnou kyselinu a ethanolamin jako aminoalkohol.
-
nakreslete strukturu cerebrosidu, který má kyselinu myristovou jako mastnou kyselinu a galaktózu jako cukr.
-
- rozlišujte mezi integrálním proteinem a periferním proteinem.
- jaká je jedna klíčová funkce integrálních proteinů?
odpovědi
-
- fosfolipid
- sfingolipid a glykolipid
-
- integrální proteiny pokrývají lipidovou dvojvrstvu, zatímco periferní proteiny se spojují s povrchy lipidové dvojvrstvy.
- pomoc při pohybu nabitých a polárních druhů přes membránu




